Москва: +7 (495)
6696898
Санкт-Петербург: +7 (812)
3097686
Ярославль: +7 (4852)
644647
КуПе-К
Оценка (средняя 4)
Кабель монтажный для промышленной автоматики КуПе-К ТУ 3581-001-92800518-2012 Кабель с токопроводящими жилами из медных проволок с изоляцией и оболочкой из полимерных материалов, соответствующих требуемому показателю пожарной опасности,...
Запросить консультацию
Заказать продукцию
Характеристики
Характеристики — КуПе-К

Кабель монтажный для промышленной автоматики КуПе-К

ТУ 3581-001-92800518-2012

Кабель с токопроводящими жилами из медных проволок с изоляцией и оболочкой из полимерных материалов, соответствующих требуемому показателю пожарной опасности, без экранов, с броней из стальных оцинкованных проволок.

Технические параметры:

Номинальное сечение токопроводящих жил кабелей, м м²: 0,20; 0,35; 0,5; 0,75; 1,0; 1,2; 1,5; 2,5; 4; 6.

Число жил, пар, троек, четверок 1 – 91.

Модификации:

КуПе-К – без обозначения показателя пожарной опасности – с изоляцией из поливи-нилхлоридного пластиката, с оболочкой из поливинилхлоридного пластиката, не распространяющий горение при одиночной прокладке

КуПе-Кнг ) – с изоляцией из поливинилхлоридного пластиката, с оболочкой из полимерного материала пониженной горючести, не распространяющий горение при групповой прокладке по категории А

КуПе-Кнг )-LS – с изоляцией и оболочкой из полимерных материалов пониженной пожароопасности, с пониженным дымо- и газовыделением, не распространяющий горение при групповой прокладке по категории А

КуПе-Кнг )-HF – с изоляцией и оболочкой из полимерных компаундов, не содержащих галогенов, не распространяющий горение при групповой прокладке по категории А и не выделяющий коррозионно-активных газообразных продуктов при горении и тлении

КуПе-Кнг )-FRLS – с огнестойкой изоляцией, с оболочкой из полимерных материалов пониженной пожароопасности, с пониженным дымо- и газовыделением, не распространяющий горение при групповой прокладке по категории А, огнестойкий

КуПе-Кнг )-FRHF – с огнестойкой изоляцией, с оболочкой из полимерных компаундов, не содержащих галогенов, не распространяющий горение при групповой прокладке по категории А, не выделяющий коррозионно-активных газообразных продуктов при горении и тлении, огнестойкий

Примечание:

 

  • с однопроволочными токопроводящими жилами добавляется индекс «ок»
  • с токопроводящими жилами из медных луженых проволок добавляется индекс «л»
  • с экранами из медных луженых проволок добавляется индекс «л»
  • с экранами из медных проволок добавляется индекс «м»
  • с комбинированными экранами добавляется индекс «фм», «фл», «фкм» или «фкл»
  • cо специальной защитой от повреждения грызунами в виде брони из стальных оцинкованных проволок поверх наружной оболочки «Г»
  • с водоблокирующими элементами добавляется индекс «в»
  • с изоляцией из сшиваемой полиолефиновой композиции добавляется индекс «Пс»
  • с поясной изоляцией под экранами добавляется индекс «п»
  • с повышенной защитой от перекрестных помех добавляется индекс «ПЗ»
  • в холодостойком исполнении добавляется индекс «ХЛ»
  • в теплостойком исполнении добавляется индекс «тс»

 

• Электрическое сопротивление токопроводящих жил постоянному току, пересчитанное на 1 км длины и температуру 20 °С, – в соответствии с ГОСТ 22483-2012.

• Электрическое сопротивление изоляции, пересчитанное на 1 км длины, МОм, не менее:

  • кабели с изоляцией из сшиваемой полиолефиновой композиции: 500
  • кабели с изоляцией из кремнийорганической резины и из полимерных компаундов, не содержащих галогенов: 100
  • остальные кабели: 10

 

• Испытательное переменное напряжение между жилами – 2500 В

• Повышенная температура эксплуатации:

 

  • кабели с индексами «нг )-HF», «нг )-FRLS», «нг )-FRHF» – до 110 °С
  • кабели в теплостойком исполнении ( «тс») – до 125 °С
  • остальные кабели: + 80 °С

 

• Пониженная температура эксплуатации:

  • кабели в исполнении ХЛ – до минус 60 °С
  • остальные кабели: до минус 50 °С

• Повышенная влажность воздуха до 98% при температуре до 35 °С

• Стойкость к воздействию воды

• Стойкость к продольному распространению воды исполнении «в»)

• Стойкость к воздействию солнечного излучения

• Маслобензостойкость

• Стойкость к монтажным изгибам

• Стойкость к вибрационным нагрузкам

• Стойкость к ударным нагрузкам

• Стойкость к линейным нагрузкам

• Стойкость к растяжению

• Стойкость к воздействию инея

• Стойкость к воздействию соляного тумана

• Стойкость к воздействию плесневых грибов

• Стойкость к динамическому воздействию пыли

• Срок службы 35 лет

ПРИМЕРЫ УСЛОВНОГО ОБОЗНАЧЕНИЯ:

КуПе-Кнг )-LS 14х0,75 ТУ 3581-001-92800518-2012:

Кабель с многопроволочными токопроводящими жилами из медных проволок, с изоляцией и оболочкой из полимерных материалов пониженной пожароопасности, с пониженным дымо- и газовыделением, не распространяющий горение при групповой прокладке по категории А, без экранов, с броней из стальных оцинкованных проволок.

КуПе-Кнг )-HF 7х2х1,0л ТУ 3581-001-92800518-2012:

Кабель с многопроволочными токопроводящими жилами из медных луженых проволок, с изоляцией и оболочкой из полимерных компаундов, не содержащих галогенов, не распространяющий горение при групповой прокладке по категории А и не выделяющий коррозионно-активных газообразных продуктов при горении и тлении, без экранов, с броней из стальных оцинкованных проволок.

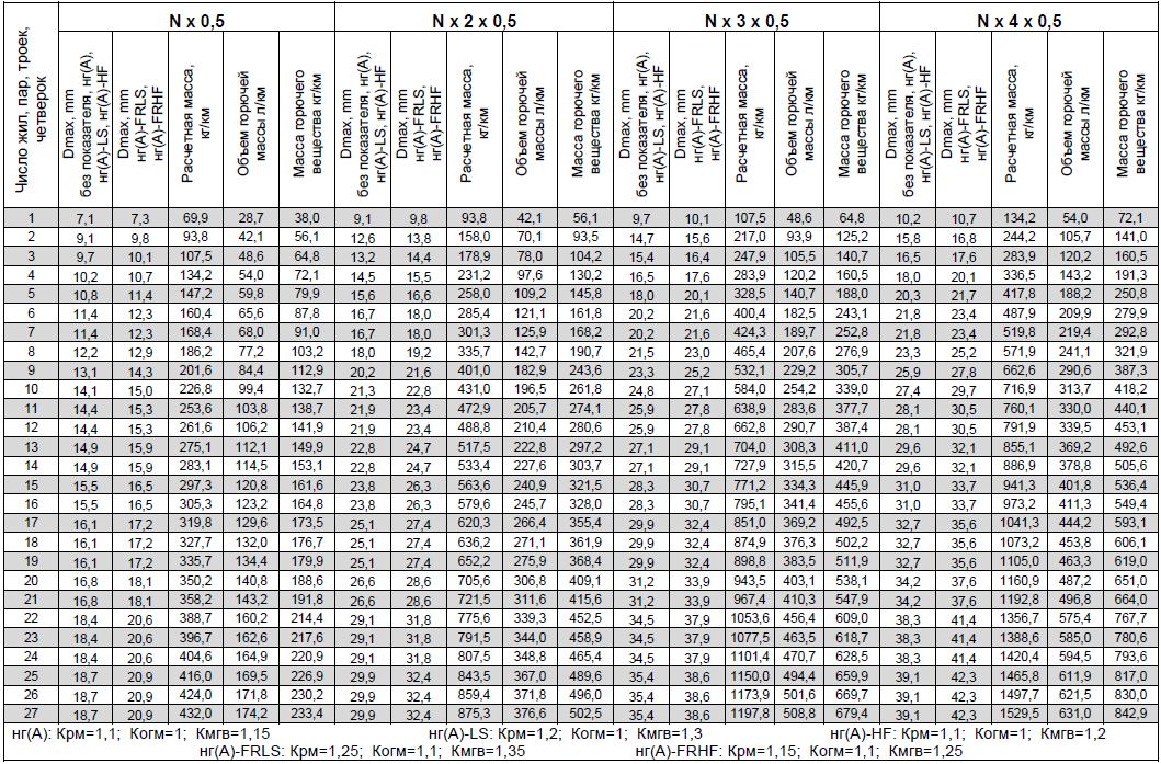
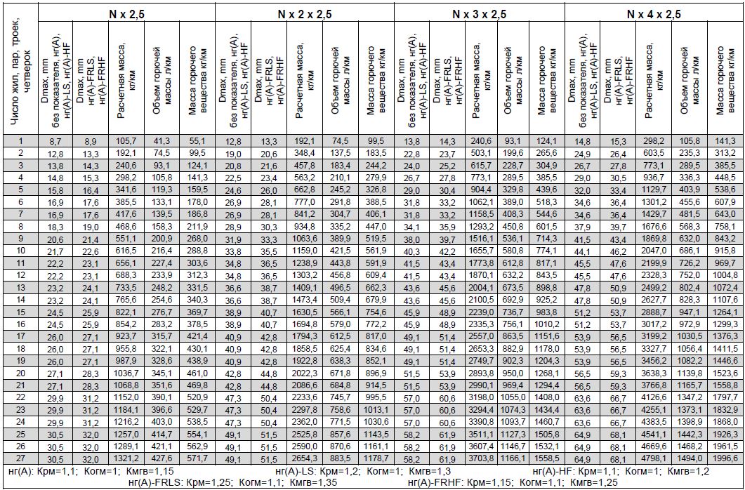
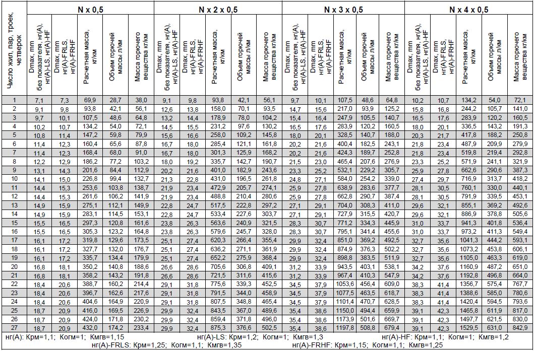
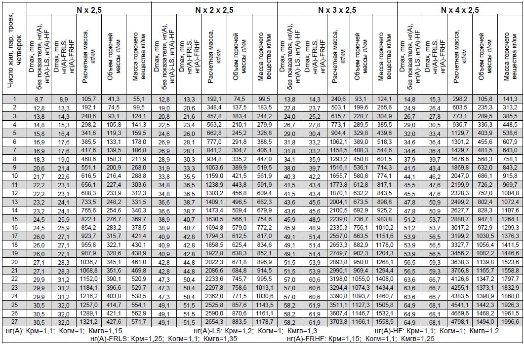
Базовые показатели массогабаритных характеристик кабелей указаны в таблице.

При работе с таблицей следует учитывать, что расчетная масса, объем горючей массы и масса горючего вещества приведены в таблице для кабелей общепромышленного исполнения, не распространяющих горение при одиночной прокладке (без обозначения показателя пожарной опасности).

Определение данных величин для кабелей в других исполнениях следует производить умножением базового показателя на соответствующий коэффициент:

  • коэффициент расчетной массы (Крм)
  • коэффициент объема горючей массы (Когм)
  • коэффициент массы горючего вещества (Кмгв)

нг ):

Крм=1,1

Когм=1

Кмгв=1,15

нг )-LS:

Крм=1,2

Когм=1

Кмгв=1,3

нг )-HF:

Крм=1,1

Когм=1

Кмгв=1,2

нг )-FRLS:

Крм=1,25

Когм=1,1

Кмгв=1,35

нг )-FRHF:

Крм=1,15

Когм=1,1

Кмгв=1,25

Купить КуПе-К в регионе Ярославль.

Новости и акции компании
© 2000-2026 Все права на разработку принадлежат компании Глобал Энерго Групп. Копирование допускается только с разрешения правообладателей сайта. Политика конфиденциальности. Наш интернет ресурс носит исключительно информационный характер и не является публичной офертой, определяемой положениями Статьи 437 (2) ГК РФ. Для получения точной информации о наличии и стоимости услуг, пожалуйста, обращайтесь к консультантам и менеджерам нашей компании.. Политика конфиденциальности
Москва: +7 (495)
6696898
Санкт-Петербург: +7 (812)
3097686
Ярославль: +7 (4852)
644647