Новости и акции компании
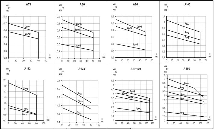
Предельно-допустимая радиальная нагрузка на свободный конец вала в зависимости от точки ее приложения Fr=f (Fx).IM B3,B5,B14


Предельно-допустимая радиальная нагрузка на свободный конец вала в зависимости от точки ее приложения Fr=f (Fx).IM B3,B5,B14


Предельно-допустимая осевая нагрузка в зависимости от радиальной, приложенной в центре свободного конца вала Fa=f (Fr). IM B3, B5, B14


Предельно-допустимая осевая нагрузка в зависимости от радиальной, приложенной в центре свободного конца вала Fa=f (Fr). IM B3, B5, B14


Купить Предельно-допустимые нагрузки в регионе Ярославль.